
IBEX NEWS,शिमला/भरमौर।
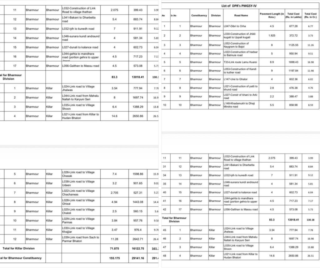
प्रधानमंत्री ग्राम सड़क योजना (PMGSY-IV) के अंतर्गत भरमौर विधानसभा क्षेत्र को बड़ी विकासात्मक सौगात मिली है। इस योजना के तहत भरमौर और किलाड़ (किलर) डिवीजन में कुल 155.175 किलोमीटर सड़कों के निर्माण एवं उन्नयन के लिए ₹291.41 करोड़ की स्वीकृति प्रदान की गई है। सड़कों की इस ऐतिहासिक मंजूरी से क्षेत्र में उत्साह का माहौल है।
योजना के अनुसार भरमौर डिवीजन में 83.3 किलोमीटर सड़कों पर लगभग ₹130.18 करोड़, जबकि किलाड़ डिवीजन में 71.875 किलोमीटर सड़कों के लिए करीब ₹161.23 करोड़ की लागत स्वीकृत की गई है। इन परियोजनाओं के पूर्ण होने से दूर-दराज़ और दुर्गम गांवों को बारहमासी सड़क संपर्क उपलब्ध होगा। पांगी-भरमौर विधानसभा क्षेत्र के विधायक न्यूरोसर्जन डॉ जनक राज ने आगे बताया है कि इन सड़कों से स्वास्थ्य, शिक्षा, कृषि, पर्यटन और आपातकालीन सेवाओं तक पहुंच आसान होगी, जिससे स्थानीय लोगों के जीवन स्तर में सुधार आएगा और क्षेत्रीय अर्थव्यवस्था को नई गति मिलेगी। साथ ही युवाओं के लिए रोजगार और स्वरोजगार के अवसर भी सृजित होंगे।
इस अवसर पर भरमौर विधानसभा क्षेत्र की जनता की ओर से प्रधानमंत्री नरेंद्र मोदी का आभार व्यक्त करते हुए कहा गया कि केंद्र सरकार ने सीमावर्ती और दुर्गम क्षेत्रों के विकास को प्राथमिकता देते हुए यह महत्वपूर्ण स्वीकृति प्रदान की है। यह निर्णय “सबका साथ, सबका विकास” के संकल्प को साकार करता है।
क्षेत्रवासियों को विश्वास है कि स्वीकृत परियोजनाओं का समयबद्ध और गुणवत्तापूर्ण क्रियान्वयन भरमौर विधानसभा क्षेत्र के समावेशी विकास को नई मजबूती देगा।

मोदी है तो मुमकिन है:डॉ जनक राज न्यूरोसर्जन विधायक भरमौर हिमाचल प्रदेश




